近日,我校公共卫生学院阚海东课题组在大气细颗粒物(PM2.5)与居民健康领域取得进展。国际环境科学领域的权威期刊Environmental Science & Technology在线发表了相关研究成果(文章链接请点击)。
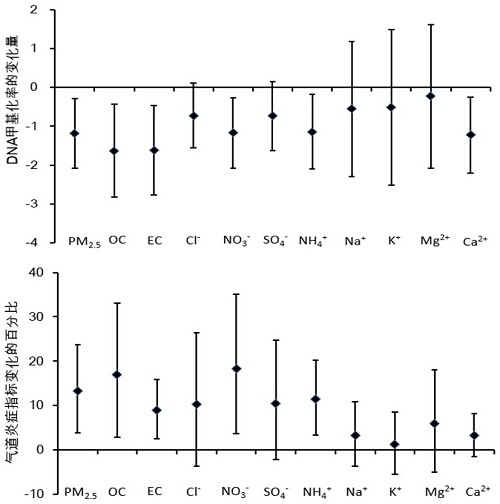
据论文第一作者陈仁杰老师介绍,表观遗传是指DNA序列等遗传信息不发生变化,但基因表达过程却发生了改变,从而影响基因的功能。以DNA甲基化为代表的表观遗传异常是目前国际上环境与健康研究的新兴热点领域之一。课题组以上海市某社区的一组慢性阻塞性肺病患者为研究对象,实时监测了PM2.5及其组分的暴露水平,并同时检测了病人的呼吸道炎症指标和相关编码基因NOS2A的DNA甲基化水平。结果显示,PM2.5可先通过引起NOS2A的DNA甲基化水平降低,然后导致呼吸道炎症指标水平增加;PM2.5中主要是有机碳、元素碳、硝酸盐和铵盐成分发挥作用。

据悉,本研究在我国最早报道了PM2.5不同组分对居民表观遗传的影响,可为进一步阐明PM2.5的健康危害机制提供证据。此外,研究成果也可为探索PM2.5健康危害干预方案提供线索,如在雾霾期间可通过补充富含甲基的食品,逆转DNA甲基化,从而减轻PM2.5的健康损害。
